要了解六西格玛是如何工作的,我们必须先了解两个基本规则。
规则一:
"持续改进是一个不断做出改变并巩固它们的过程."

图1
每个流程都有一条性能曲线,可以用图1来表示。
很多管理者犯的错误是:从一开始就希望通过“一步到位”来达到最大的提升。例如,假设图2显示了当前的绩效水平,如果经理试图启动一个项目来解决所有的流程绩效问题,或者使某个流程的绩效在一夜之间达到顶峰,那么他或她的期望越大,他或她的失望就越大。

图2
大多数情况下,项目可能会被无限期推迟。就像试图一举解决世界饥荒问题一样,会有太多的变量需要处理,会干扰核心工作。
为什么这个概念被定义为持续改进?原因很简单:当管理者意识到自己可以实现并保持很小的改进成果时,就会形成很大的改进“势”。巩固阶段将巩固最新的改进成果(图3)。

图3
过了这个盘整阶段,就是下一轮的提升,然后是盘整阶段。所以,改进然后巩固,然后改进...这是一个重复的过程。
持续改进将给企业带来四个好处:
(1)将更早实现收益;
②会更容易巩固并长期保持利润;
③员工支持持续改进,因为他们体会到了胜利的滋味;
④在追求持续改进的过程中,组织文化会发生变化。
第二条规则:
“Y是变量X的函数,当密钥X改变时,改善会很快发生。”
Y=f(x)
通过这个公式,我们可以精确地计算出某个过程的输出(输出用大写字母Y表示),输出是输入和过程变量(变量用大写字母X表示)的函数。y的变化是由x的变化直接引起的。
这一概念也可以由图4直观地表达出来:

图4
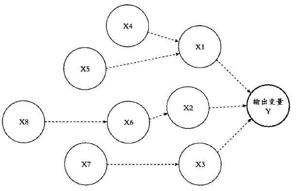
如果使用六西格玛的原始形式,改进过程相当简单。项目组负责减少特定变量(y)的变化,如材料的硬度、弹性或使用寿命。基于他们的经验和对某一过程的了解,他们总结了Y变异的原因。他们假设的原因从近层到远层都有,目的是找出导致变异的主要原因。

图5
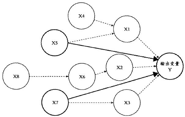
在上面的图5中,我们可以看到团队假设Y的变异有八个原因,现在我们知道不是所有的原因对Y的影响都一样,要提升Y,首先要找到几个影响Y的“关键X”,这个时候六西格玛就派上用场了。团队利用六西格玛的各种工具和方法,从所有假设的原因中找出对Y影响最大的变量(图6)。

图6
一旦确定了影响关系,我们就可以提出解决方案,改变变量并获得预期的过程输出(Y)。六西格玛的DMAIC模型为寻找和控制这些“关键X”提供了框架和工具。
上一篇:六西格玛管理能为企业带来哪些收益
下一篇:六西格玛(6sigma)发展历史