
时间:2015-08-04
一、什么是现状分析现状分析是六西格玛系统在测量阶段的重要一步。六西格玛 system是一个基于数据的系统。现状分析是指在定义阶段建立CTQ并转换为项目Y......

时间:2015-07-29
合理分组是六西格玛是系统DMAIC模式数据收集阶段的数据收集策略。用合理分组,可以确定和区分短期误差和长期误差,从而告诉我们目前的情况是技术实力不足......

时间:2015-07-29
测量系统是指由测量仪器、测量软件、测量操作人员、测量对象、测量方法和测量环境组成的整体。测量系统分析是一种检测测量系统的方法,以便更好地了解影......

时间:2015-07-28
一、如何开展结构树分析1.结构树简介结构树即树形图,用于将问题细分为可管理和可控制的区域,从而找出根本原因或确定关键区域。结构树创建过程是:①列出......

时间:2015-07-28
一、流程图介绍流程图是一个六西格玛工具,通过显示组成流程的步骤、事件和操作(按时间顺序),以简单直观的方式定义流程。在DMAIC改进项目中,流程图用于......

时间:2015-07-21
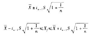
1.个体值的区间估计和预测除了总体平均值的置信区间估计之外,通常还需要预测未来个体值的结果。虽然平均预测区间的形式与置信区间估计相似,但对预测区......

时间:2015-07-20
最常见的置信区间估计包括总体均值的估计。在实践中,具有已知样本均值和标准差以及未知总体标准差的样本数据用于估计总体均值。在这种情况下,统计学家......

时间:2015-07-20
统计量的抽样分布的发展对能否利用抽样统计量获得总体特征至关重要。但是样本统计的特征,比如均值,都是只通过一个样本计算出来的,所以只能逐点估计整......

时间:2015-07-17
1.中心极限定理随着样本量的增加,无论个体值组成的总体的分布形状如何,均值的抽样分布都可以用正态分布来表示。图1显示了三个不同群体平均值的抽样分布......

时间:2015-07-17
1.抽样分布的基本概念在之前的文章中,天行健管理咨询公司已经介绍了统计学的一些基本概念,以及许多有用的图表和方法来描述统计学。讨论了概率的一些规......